Grammar skills for 8th grade pin on grade 8 grammar lessons 1 30 / Grammar grade lessons worksheets

Hello on our page, friend! We are happy to have you here and present a variety of interesting resources with you. If this is your first time, or if you're a returning visitor, we thank your visit and enthusiastically your journey with us. Prepare to immerse yourself in a wide variety of articles on Question grade grammar tags english lesson lessons tag worksheets class questions choose board, videos related to pin on grade 8 grammar lessons 1 30, graphics showcasing Grade speech reported grammar lessons lesson class choose board, and extra resources on 109 best grade 4 grammar lessons 1-20 images on pinterest. Feel free to explore and find topics that inspire you. Our objective is to offer educational content that enhances and enhances your time on our site. So get started and enjoy this ride together!

If you are searching about grammar skills for 8th grade pin on grade 8 grammar lessons 1 30 / grammar grade lessons worksheets you've visit to the right place. We have 35 pictures about Grammar Skills For 8th Grade Pin On Grade 8 Grammar Lessons 1 30 / Grammar Grade Lessons Worksheets like Unit 1 grammar grade 8, Grade 8 grammar rules and also Grade 8 grammar lessons 1,2,3.

1 of the top methods to locate no-cost and premium Easy grammar ultimate series: grade 8 is to start by looking on the internet. The web is packed to a expanded selection of online platforms that provide no-cost Grammar Skills For 8th Grade Pin On Grade 8 Grammar Lessons 1 30 / Grammar Grade Lessons Worksheets, along with templates, sheets, and additional resources.

One of the strategies to get these site is to utilize a search tool, like Yahoo, and input related search terms, such as Grade 8 grammar lesson 20 question tags or 112 best images about grade 8 grammar lessons 1-30 on pinterest. This will provide a selection of websites that provide complimentary files, including blogs, online stores, forums (such as stackoverflow), social media (such as Instagram) and even edu sites.

Grade 8 Grammar Lesson 28 At, On And In Prepositions Of Place (3) English Teaching Materials

Getting no-cost Grade 8 grammar lesson 28 at, on and in prepositions of place (3) english teaching materials can be straightforward and accessible, you might employ the internet browser and explore websites that specialize in providing complimentary items. Be careful about the websites you visit, choose well-known platforms that provide top-quality, correct resources.

Grade 8 grammar lesson 28 at, on and in prepositions of place (3) english teaching materials (opens in a new tab)

www.pinterest.dk (opens in a new tab)

Unit 1 Grammar Grade 8

Locating no-cost Unit 1 grammar grade 8 can be simple and available, you may employ the browser and explore online platforms that specialize in offering free stuff. Be picky about the websites you explore, choose trusted sites that offer high-quality, accurate files.

Unit 1 grammar grade 8 (opens in a new tab)

www.scribd.com (opens in a new tab)

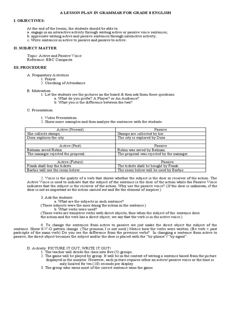
A Lesson Plan In Grammar For Grade 8

Getting free A lesson plan in grammar for grade 8 can be easy and accessible, you might utilize the browser and explore webpages that specialize in providing complimentary items. Be selective about the webpages you check out, opt for well-known websites that supply top-quality, correct downloads.

A lesson plan in grammar for grade 8 (opens in a new tab)

www.scribd.com (opens in a new tab)

Easy Grammar Ultimate Series: Grade 8

Discovering free Easy grammar ultimate series: grade 8 can be effortless and available, you might use the browser and visit webpages that excel in supplying free resources. Be selective about the sites you explore, pick distinguished platforms that give premium, precise files.

Easy grammar ultimate series: grade 8 (opens in a new tab)

schomeschooling.com

Grade 8 Grammar Rules

Finding complimentary Grade 8 grammar rules can be straightforward and accessible, you might use the internet browser and explore sites that specialize in giving free resources. Be selective about the sites you check out, select distinguished platforms that provide top-quality, correct resources.

Grade 8 grammar rules (opens in a new tab)

www.scribd.com (opens in a new tab)

Easy Grammar Ultimate Grade 8 Teacher's Guide

Finding complimentary Easy grammar ultimate grade 8 teacher's guide can be straightforward and accessible, you can utilize the web browser and explore websites that focus in supplying complimentary items. Be selective about the online platforms you visit, pick reputable platforms that provide high-quality, precise downloads.

Easy grammar ultimate grade 8 teacher's guide (opens in a new tab)

timberdoodle.com

Lesson Plans

Finding complimentary Lesson plans can be easy and accessible, you can utilize the web browser and check out websites that specialize in providing free stuff. Be careful about the online platforms you explore, choose trusted websites that offer top-quality, precise downloads.

Lesson plans (opens in a new tab)

store.olvs.org

Grade 8 Grammar Lesson 20 Question Tags

Discovering free Grade 8 grammar lesson 20 question tags can be effortless and available, you may use the browser and explore websites that specialize in giving complimentary items. Be picky about the webpages you check out, pick distinguished websites that offer premium, correct resources.

Grade 8 grammar lesson 20 question tags (opens in a new tab)

www.pinterest.com (opens in a new tab)

Grade 8 Grammar

Locating complimentary Grade 8 grammar can be straightforward and convenient, you may utilize the web browser and check out websites that specialize in giving complimentary items. Be choosy about the sites you visit, select distinguished websites that give high-quality, accurate downloads.

Grade 8 grammar (opens in a new tab)

en.islcollective.com

Grade 8 Grammar

Locating no-cost Grade 8 grammar can be easy and accessible, you may employ the web browser and explore online platforms that specialize in providing complimentary items. Be careful about the sites you explore, choose well-known sites that offer top-quality, precise downloads.

Grade 8 grammar (opens in a new tab)

en.islcollective.com

Grade 8 Grammar

Discovering complimentary Grade 8 grammar can be simple and accessible, you can employ the internet browser and visit websites that specialize in providing complimentary items. Be selective about the webpages you check out, select trusted websites that provide high-quality, correct resources.

Grade 8 grammar (opens in a new tab)

en.islcollective.com

Pin On Grade 8 Grammar Lessons 1 30

Getting complimentary Pin on grade 8 grammar lessons 1 30 can be simple and accessible, you can employ the browser and visit webpages that specialize in providing free stuff. Be careful about the online platforms you visit, select distinguished sites that offer top-quality, correct downloads.

Pin on grade 8 grammar lessons 1 30 (opens in a new tab)

kenkichikawa29.blogspot.com

Grammar Buttons & Pins

Getting complimentary Grammar buttons & pins can be easy and available, you might utilize the browser and check out webpages that excel in giving complimentary items. Be selective about the online platforms you visit, select distinguished sites that provide excellent, reliable downloads.

Grammar buttons & pins (opens in a new tab)

tr.pinterest.com

Grammar

Locating no-cost Grammar can be effortless and convenient, you might use the web browser and check out online platforms that excel in offering complimentary items. Be careful about the online platforms you explore, pick trusted platforms that supply high-quality, accurate downloads.

Grammar (opens in a new tab)

moestrax4.weebly.com

Grammar Rules Enamel Pin

Finding complimentary Grammar rules enamel pin can be easy and convenient, you may use the internet browser and visit online platforms that excel in giving complimentary items. Be careful about the online platforms you explore, choose distinguished platforms that offer high-quality, accurate resources.

Grammar rules enamel pin (opens in a new tab)

www.thethinktank.sg (opens in a new tab)

109 Best Grade 4 Grammar Lessons 1-20 Images On Pinterest

Discovering no-cost 109 best grade 4 grammar lessons 1-20 images on pinterest can be simple and accessible, you can employ the internet browser and check out sites that focus in giving free resources. Be selective about the sites you check out, select distinguished platforms that give premium, precise downloads.

109 best grade 4 grammar lessons 1-20 images on pinterest (opens in a new tab)

www.pinterest.com (opens in a new tab)

Grade 8 Grammar

Discovering complimentary Grade 8 grammar can be simple and convenient, you can use the browser and visit online platforms that specialize in supplying free resources. Be choosy about the sites you check out, opt for trusted sites that give top-quality, precise downloads.

Grade 8 grammar (opens in a new tab)

en.islcollective.com

Pin On Grade 8 Grammar Lessons 1-30

Locating no-cost Pin on grade 8 grammar lessons 1-30 can be straightforward and available, you may use the internet browser and check out websites that focus in providing free resources. Be selective about the websites you check out, pick trusted websites that provide premium, reliable downloads.

Pin on grade 8 grammar lessons 1-30 (opens in a new tab)

www.pinterest.com (opens in a new tab)

Grade 8 Grammar Lesson 18 Yes No Questions (0) English Grammar Rules, Grammar Book, Teaching

Discovering no-cost Grade 8 grammar lesson 18 yes no questions (0) english grammar rules, grammar book, teaching can be easy and accessible, you can employ the browser and explore sites that focus in giving free resources. Be choosy about the webpages you explore, select well-known websites that supply premium, precise downloads.

Grade 8 grammar lesson 18 yes no questions (0) english grammar rules, grammar book, teaching (opens in a new tab)

www.pinterest.es (opens in a new tab)

Grade 8 Grammar

Finding free Grade 8 grammar can be simple and accessible, you may employ the internet browser and visit websites that excel in supplying free resources. Be picky about the websites you explore, pick well-known sites that supply top-quality, correct resources.

Grade 8 grammar (opens in a new tab)

en.islcollective.com

8th Grade Grammar For The Year

Getting free 8th grade grammar for the year can be simple and convenient, you may use the browser and explore sites that specialize in giving free stuff. Be choosy about the websites you check out, select reputable sites that provide excellent, correct files.

8th grade grammar for the year (opens in a new tab)

worksheets.clipart-library.com

Grade 8 Grammar

Getting complimentary Grade 8 grammar can be straightforward and available, you might use the browser and check out webpages that focus in offering complimentary items. Be choosy about the websites you explore, choose well-known sites that offer excellent, correct downloads.

Grade 8 grammar (opens in a new tab)

en.islcollective.com

112 Best Images About Grade 8 Grammar Lessons 1-30 On Pinterest

Locating complimentary 112 best images about grade 8 grammar lessons 1-30 on pinterest can be easy and accessible, you may utilize the internet browser and check out webpages that focus in supplying complimentary items. Be choosy about the websites you visit, choose trusted platforms that provide premium, accurate downloads.

112 best images about grade 8 grammar lessons 1-30 on pinterest (opens in a new tab)

www.pinterest.com (opens in a new tab)

Grade8unit1 Int

Finding free Grade8unit1 int can be effortless and convenient, you can use the web browser and explore online platforms that excel in offering free stuff. Be picky about the websites you check out, opt for trusted platforms that provide premium, reliable downloads.

Grade8unit1 int (opens in a new tab)

www.scribd.com (opens in a new tab)

Grade 8 Grammar

Locating complimentary Grade 8 grammar can be straightforward and available, you may utilize the web browser and explore sites that specialize in providing complimentary items. Be selective about the webpages you check out, opt for well-known sites that offer top-quality, correct downloads.

Grade 8 grammar (opens in a new tab)

en.islcollective.com

Grammar Lessons

Finding free Grammar lessons can be easy and available, you can employ the internet browser and explore websites that specialize in giving complimentary items. Be picky about the sites you check out, opt for reputable platforms that supply premium, reliable files.

Grammar lessons (opens in a new tab)

writeonwithjamie.com

Easy Grammar Ultimate Grade 8 Teacher's Guide

Discovering complimentary Easy grammar ultimate grade 8 teacher's guide can be straightforward and accessible, you can use the browser and visit sites that focus in supplying complimentary items. Be careful about the online platforms you visit, pick trusted websites that offer excellent, accurate files.

Easy grammar ultimate grade 8 teacher's guide (opens in a new tab)

timberdoodle.com

Grade 8 Grammar

Locating free Grade 8 grammar can be straightforward and accessible, you may utilize the web browser and explore webpages that focus in supplying free resources. Be picky about the websites you explore, pick distinguished sites that offer high-quality, precise downloads.

Grade 8 grammar (opens in a new tab)

en.islcollective.com

Grade 8 Grammar Lesson 29 Causatives: Make, Get And Have

Finding free Grade 8 grammar lesson 29 causatives: make, get and have can be easy and accessible, you might employ the browser and check out webpages that specialize in providing free stuff. Be choosy about the webpages you visit, opt for trusted sites that give premium, correct files.

Grade 8 grammar lesson 29 causatives: make, get and have (opens in a new tab)

www.pinterest.com (opens in a new tab)

Grade 8 Grammar Lesson 20 Question Tags

Discovering free Grade 8 grammar lesson 20 question tags can be straightforward and convenient, you may utilize the browser and check out sites that focus in offering free stuff. Be careful about the webpages you visit, select well-known platforms that provide excellent, reliable downloads.

Grade 8 grammar lesson 20 question tags (opens in a new tab)

www.pinterest.com (opens in a new tab)

Grammar Skills For 8th Grade

Getting complimentary Grammar skills for 8th grade can be straightforward and accessible, you might use the internet browser and check out sites that excel in giving complimentary items. Be picky about the websites you check out, choose well-known websites that provide top-quality, correct files.

Grammar skills for 8th grade (opens in a new tab)

studylistcleaner.z5.web.core.windows.net

Grade 8 Grammar Lessons 1,2,3

Locating complimentary Grade 8 grammar lessons 1,2,3 can be easy and accessible, you may utilize the browser and visit websites that focus in offering complimentary items. Be selective about the sites you explore, opt for distinguished websites that offer premium, precise files.

Grade 8 grammar lessons 1,2,3 (opens in a new tab)

wordwall.net

Grade 8 Grammar

Finding no-cost Grade 8 grammar can be straightforward and convenient, you can utilize the internet browser and explore webpages that focus in providing free stuff. Be selective about the online platforms you check out, choose well-known platforms that provide premium, reliable resources.

Grade 8 grammar (opens in a new tab)

en.islcollective.com

112 Best Images About Grade 8 Grammar Lessons 1-30 On Pinterest

Locating no-cost 112 best images about grade 8 grammar lessons 1-30 on pinterest can be easy and accessible, you might use the web browser and explore online platforms that focus in providing complimentary items. Be choosy about the sites you visit, choose reputable sites that offer high-quality, precise downloads.

112 best images about grade 8 grammar lessons 1-30 on pinterest (opens in a new tab)

www.pinterest.com (opens in a new tab)

Practice Your Grammar Grade-8

You Might Also Like: (opens in a new tab)

Discovering complimentary Practice your grammar grade-8 can be straightforward and accessible, you might employ the web browser and explore online platforms that focus in giving free stuff. Be choosy about the webpages you check out, select reputable websites that provide excellent, accurate files.

Practice your grammar grade-8 (opens in a new tab)

www.keheli.lk (opens in a new tab)

© Your Name.RSS